군인 월급 2023 군인 봉급표
2023 군인 월급 대폭 인상
2022년 대비 2023년의 군인 월급은 큰 변화를 겪었습니다. 병장의 월급이 68만 원에서 100만 원으로, 상병은 61만 원에서 80만 원으로, 일병은 55만 원에서 69만 원으로, 그리고 이병은 51만 원에서 60만 원으로 인상되었습니다. 이러한 인상률은 평균적으로 47.9%에 달하며, 이는 국방 분야의 예산 증가와 연계되어 있습니다.
예상 2024년 군인 월급 인상
2024년도 예산안에 따르면, 국방 예산이 더욱 증가할 예정입니다. 이에 따라 군인월급 2024 인상에서 병장의 월급은 100만 원에서 125만 원으로, 상병은 80만 원에서 100만 원으로, 일병은 68만 원에서 80만 원으로, 그리고 이병은 60만 원에서 64만 원으로 인상될 예정입니다. 또한, 내일준비지원금의 최대 지급액도 30만 원에서 40만 원으로 증가하여, 병장의 경우 월급과 지원금을 합쳐 총 165만 원을 받게 됩니다.
2025년 군인 월급 전망
2025년에는 병장의 월급이 150만 원으로 더욱 상승할 계획입니다. 여기에 내일 준비지원사업의 추가 적립금 55만 원을 더하면, 총 205만 원의 수입이 예상됩니다. 반면, 초급간부의 기본급 인상률은 3~4%에 그쳐, 병장의 월급이 초급간부 기본급을 역전할 가능성이 제기되고 있습니다.
장교와 부사관 복무장려금의 인상
장교와 부사관의 복무장려금 역시 큰 폭으로 인상될 예정입니다. 2022년에는 장교와 부사관이 각각 600만 원과 500만 원의 복무장려금을 받았지만, 이후 1200만 원과 1000만 원으로 2배 인상될 계획입니다.
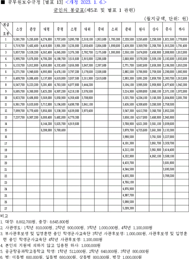
직업 군인 월급 2023 및 수당, 예상 대령 연봉
군인의 월급은 다양한 요인에 따라 개인별로 차이가 발생합니다. 특히, 임관 시기, 장기복무 여부, 전년도 수입 등이 이에 영향을 미칩니다. 이러한 다양성을 고려하여, ROTC를 통해 장교가 되는 경우를 기준으로 설명하겠습니다. 이들은 소위로 임관하며, 후보생 시절의 복무 기간이 인정되어 매년 9월에 호봉이 상승합니다.
군인이 받을 수 있는 수당은 여러 항목으로 구성됩니다. 이에는 정근수당 및 가산금, 가족수당, 주택수당, 특수지근무수당, 위험근무수당, 시간외근무수당, 관리업무수당 등이 포함됩니다. 이외에도 정액급식비, 명절휴가비, 연가보상비, 직급보조비 등도 수령 대상이 됩니다. 성과상여금 역시 수령 가능한 항목입니다.
국외 근무 시 자녀학비보조수당, 육아휴직시의 육아휴직수당, 특수업무수당, 업무대행수당, 군법무관수당 등 특별한 경우에 해당하는 수당들도 존재합니다. 그러나 여기서는 일반적인 상황을 중심으로 설명하겠습니다.
각 직업군인 수당 및 실비변상의 적용 방식
- 정근수당 및 가산금: 장기복무가 된 2년차 1월부터 적용됩니다.
- 관리업무수당: 월봉급액의 9%가 적용됩니다.
- 정액급식비: 월 14만 원으로, 실제로는 해당 월의 일수에 따라 약간의 차이가 있습니다.
- 명절휴가비: 해당 년도의 실제 호봉에 해당하는 봉급의 60%를 받습니다.
- 연가보상비: 월봉급액의 86%를 1/30로 나누어 연말에 10일을 기준으로 계산합니다.
- 직급보조비: 해당 계급별 직급보조비(예: 대령 650,000원)를 적용합니다.
성과상여금의 계산
성과상여금은 계급별 지급기준액표에 따라 산정되며, 여기에 개인별로 차이가 있을 수 있습니다. 일반적으로 평균금액인 110%를 기준으로 가정합니다.
이처럼 군인의 월급은 단순한 기본급을 넘어서 다양한 수당과 보조금으로 구성되며, 이는 개인의 상황과 계급에 따라 크게 달라질 수 있습니다. 따라서, 군 복무 중인 개인의 정확한 수입을 파악하기 위해서는 이러한 다양한 요인들을 종합적으로 고려해야 합니다.
군인 월급의 과세 및 지출 상세 분석
과세 및 기여금에 대한 개요
군인의 월급에서 공제되는 주요 항목으로는 소득세, 건강보험료 및 노인장기요양보험료, 그리고 기여금이 있습니다. 소득세는 월급여액의 14%에 해당하며, 지방소득세는 추가로 1.4%가 부과됩니다. 건강보험료는 보수월액의 3.545%이며, 노인장기요양보험료는 0.4541%로 책정됩니다. 기여금은 보수월액의 7%에 해당하며, 이는 군인보수 인상률을 반영하여 계산됩니다.
과세 계산 방법
군인의 소득세 계산은 올해의 수입을 기준으로 합니다. 정액급식비와 전년도의 소득세, 지방소득세, 건강보험료, 노인장기요양보험료, 기여금을 감한 후, 수입이 있었던 월로 나누어 월급여액을 산출합니다. 이 산출된 금액에는 2023년 근로소득 간이세액표상 1인가구의 세액이 적용됩니다. 건강보험료와 노인장기요양보험료 역시 소득세와 같은 방식으로 계산되며, 군인의 경우 이 보험료가 20% 경감됩니다.
기여금 산정 방식
기여금은 2021년 및 2022년도의 보수를 기준으로 산정됩니다. 이에 2022년 및 2023년 군인보수 인상률인 1.4%와 1.7%를 적용하여 계산됩니다. 기여금의 적용은 매년 5월을 기준으로 합니다.
실제 수령액 예시: 23년차 대령
예를 들어, 2001년에 임관한 23년차 대령의 경우, 총 봉급은 약 10.70천만 원입니다. 여기서 지출을 제외한 실 수령액은 약 8.70천만 원으로 추산됩니다. 통상적으로 월급은 549만 원에서 562만 원 사이이며, 수당 및 실비보조를 포함하여 계산할 경우 월 평균 수령액은 약 725만 원으로 나타납니다.
'직업 경제 세금' 카테고리의 다른 글
2024년 삼성전자 정기 임원 인사 발표 승진자 명단 (0) | 2023.11.29 |
---|---|
삼성물산 사장단 인사 발표: 상사부문 이재언 부사장, 사장으로 승진 (0) | 2023.11.28 |
LH 전세임대 모집, 다자녀가구·신혼부부 대상 기간, 신청방법, 자격 요건 (0) | 2023.11.21 |
하이투자증권 임원인사 명단 통계청 국무조정실 감사원 행정안전부 국토교통부 공정거래위원회 국세청 과장 국장 승진 전보 인사 발령 (0) | 2023.11.16 |
KBS 인사 발령 명단 (0) | 2023.11.14 |
목차