공무원 봉급표 9급 월급 2025년 기준 총정리
2025년, 공무원 봉급표가 1월 3일에 공무원 보수 규정 개정으로 새롭게 개정되었습니다. 특히 9급 1호봉 공무원의 월급은 기본 인상률 3%에 추가 3.6%를 더해 총 6.6% 인상되었는데요. 요즘 치솟는 물가를 생각하면 참 반가운 소식입니다. 하지만 한편으로는 "그래도 아직 부족한 거 아냐?"라는 솔직한 생각도 들 수 있겠죠.

오늘은 9급 공무원 봉급표를 중심으로, 2025년 개정 내용을 꼼꼼하게 파헤쳐 보겠습니다.
9급 공무원 1호봉 월급: 2,000,900원 → 실수령액은?
9급 공무원 1호 기본 봉급 확인

2025년 기준, 9급 1호봉의 기본 봉급은 2,000,900원입니다. 이 금액은 세전 기준이며, 세금과 4대 보험료를 제하면 실수령액은 약 170만 원대로 추정됩니다. 물론 수당이 붙기 때문에 실제로 170만 원대로 받는 일은 드뭅니다. 그렇다 하더라도 실수령액이 200만 원이 안 되는 달도 존재하긴 합니다. 정근수당+명절휴가비+상여금이 들어오는 1월에는 꽤 높은 월급인 날도 있겠지만, 딱히 수당이 없는 달에는 실수령액이 200에 채 못 미치기도 합니다.
"2백만 원도 채 못 받는다고?"
네, 맞습니다. 그래서 공무원 초봉은 항상 경제적 부담과 직결되는 민감한 주제입니다.
각종 수당 포함시
하지만 공무원 급여는 기본 봉급만으로 끝나지 않습니다. 근속수당, 정근수당, 직급보조비, 가족수당, 시간외근무수당 등이 별도로 붙습니다.
9급 1호봉 신규 공무원의 경우를 가정해 보면:
- 기본 봉급: 2,000,900원
- 직급보조비: 약 130,000원
- 정근수당(6개월 이상 근무 시): 약 190,000원
- 시간외수당: 월 20~40시간 기준 약 200,000~400,000원 추가
- 가족수당(배우자, 자녀 등): 조건부 보통 90,000원 추가, 다자녀의 경우에는 셋째 자녀부터는 13만 원 추가.
➡ 최종 실수령액은 평균적으로 200만 원 중반대까지 올라갑니다.
즉, 기본 봉급만 보면 "너무 적다" 싶지만, 수당을 더하면 어느 정도 만회가 됩니다.
2025년 공무원 봉급표 주요 개정 내용
저연차 7~9급 공무원 추가 인상
2025년 인상의 가장 큰 특징은 "저연차" 배려입니다.
특히 7~9급 공무원의 1~3호봉 구간에서 추가 인상이 적용되었습니다.
| 구분 | 공무원 봉급 인상률 |
| 전체 평균 인상률 | 3% |
| 9급 1호봉 특별 인상률 | 6.6% |
이유는 간단합니다.
- 공무원 초임 급여가 민간 기업과 비교해 상대적으로 낮다는 점
- 신입 공무원들의 이탈 방지 필요성
- 공직 초기 생활 안정성 확보
한 마디로, 초보 공무원 지갑에 생명수를 부어준 셈입니다. (조금 모자라지만요.)
9급 월급, 실제 체감은 어떨까?
물가 상승 대비 효과 분석
3% 평균 인상은 현재 한국은행 발표 소비자물가 상승률(3.2% 수준)과 비슷합니다. 즉, 명목 소득은 올랐지만 실질 구매력은 거의 제자리걸음이라는 것이죠.
특히, 고정비(월세, 대출, 생활비 등)가 많은 신규 공무원 입장에서는 여전히 빠듯합니다.
"가끔은 떡볶이 대신 물떡 먹는 심정으로 살아야 합니다."
정말 농담 같지만, 현실에서는 꽤 자주 벌어지는 일이죠.
민간기업 초임과 비교
- 대기업 신입 초봉: 약 400만 원 (2025년 기준)
- 중견기업 신입 초봉: 약 280만 원
- 9급 공무원 초봉(수당 포함): 약 250만 원
공무원 초봉은 민간에 비해 여전히 낮습니다.
하지만 장기적 안정성, 연금 보장, 해고 리스크 없음 등을 고려하면 충분히 매력적인 선택지라는 평가도 많습니다.
공무원 봉급표 2025년 전체 구조 간단 정리
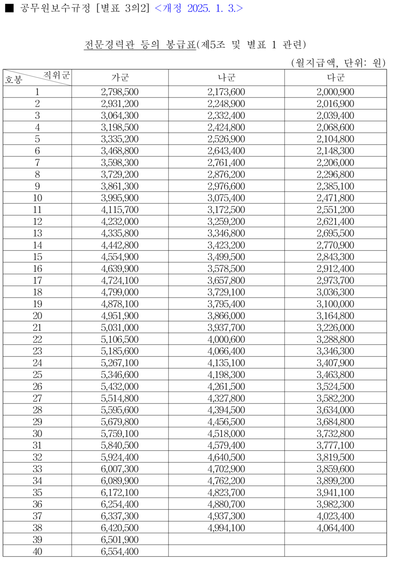
9급~1급 일반직렬 공무원 봉급표
| 호봉 | 9급 | 8급 | 7급 | 6급 | 5급 |
| 1호봉 | 2,000,900 | 2,028,200 | 2,173,600 | 2,308,700 | 2,798,500 |
| 2호봉 | 2,017,000 | 2,067,600 | 2,237,100 | 2,416,100 | 2,911,500 |
| 3호봉 | 2,039,500 | 2,112,500 | 2,307,500 | 2,526,800 | 3,029,000 |
- 9급 → 8급: 승진 시 약 30~50만 원 상승
- 7급 이상: 직급보조비, 수당 추가 지급 확대
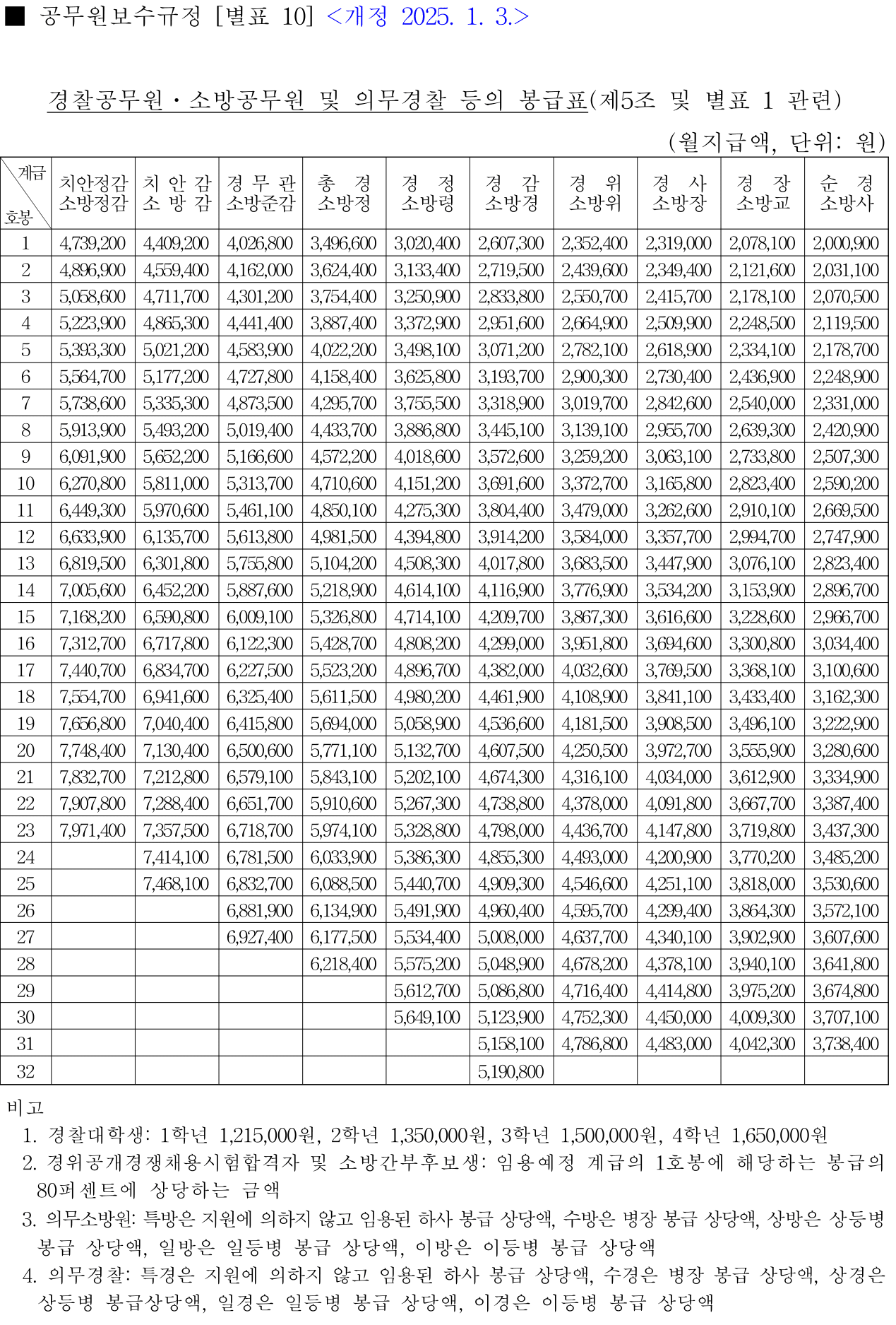
경찰공무원/소방공무원 봉급표

- 순경·소방사 1호봉: 2,000,900원
- 경장·소방교 1호봉: 약 2,100,000원
교육공무원 봉급표

- 초등학교 신규 교사: 약 2,325,100원 (사범대, 교대 출신 2급 정교사는 9호봉부터 시작합니다.) 교사 1호봉은 옛날옛날에 고졸 출신 교사들 임용 시 적용되던 호봉이라 현재는 1호봉 정교사는 없습니다.
- 고등학교 교사 최고호봉: 약 5,995,800원, 하지만 보통 여자 교사들이 임용돼서 교사 정년퇴직나이(62세)까지 40년을 초과해서 근속하기 때문 근속 가봉 호봉이 적용되기 때문에 정년을 앞둔 교사들의 경우에는 40호봉 이상을 받기도 합니다.
군인 봉급표

- 소위(초임장교): 약 2,017,300원
- 대장(최고위직): 약 9,293,500원






공무원 봉급 인상, 앞으로의 과제
문제점 1. 저연차 실질소득 부족
현재 수당을 제외한 기본급만 보면 여전히 최저임금과 큰 차이가 없습니다.
초임 공무원들의 경제적 자립을 위해서는 추가 개선이 필요합니다.
문제점 2. 수당 중심 급여 구조
기본 봉급 비중이 낮고, 각종 수당이 급여의 상당 부분을 차지합니다.
이런 구조는 예상외의 리스크를 낳을 수 있습니다.
- 초과근무 줄면 급여 급감
- 수당 기준 변경 시 소득 불안정
개선 방향
- 기본급 자체 인상
- 복지 포인트, 주거 지원 확대
- 장기적 연금 개편 논의
2026년 이후 공무원 봉급 인상 시나리오 예측
공무원 봉급, 앞으로 어떻게 달라질까?
2025년 공무원 봉급표가 발표되자, 자연스럽게 이어지는 질문이 하나 있었습니다.
"그럼 2026년부터는 얼마나 오를까?"
공무원 시험 준비생, 현직자, 그리고 예비 공무원 가족분들까지 모두 궁금해하는 부분인데요.
오늘은 공식 발표 자료는 아니지만, 경제 전망 + 정부 정책 기조 + 역사적 인상률 추이를 바탕으로 2026년 이후 공무원 봉급 인상 시나리오를 정리해 보겠습니다.
2026년 이후 공무원 봉급 인상 전망 근거
물가 상승률 전망
- 2025년 하반기부터 한국은행은 소비자물가 상승률을 2.3~2.5% 수준으로 안정화 전망하고 있습니다.
- IMF, OECD 역시 2026년 대한민국 물가상승률 2% 초중반으로 예상 중입니다.
정부 재정 여력
- 2025~2026년 국가 채무비율은 약 53% 예상
- 복지 지출 증가로 인해 추가적인 대규모 재정 여력은 크지 않음
- 그러나 공직자 사기 진작 및 우수 인재 유치를 위해 기본 인상은 유지할 전망
역사적 공무원 봉급 인상률 추이
| 연도 | 인상률 |
| 2022년 | 1.4% (역대 최저) |
| 2023년 | 1.7% |
| 2024년 | 2.5% |
| 2025년 | 3.0% (+ 저연차 추가 인상) |
추세를 보면, 2026년 역시 2% 중반~3%대 소폭 인상이 예상됩니다.
2026년 이후 봉급 인상 시나리오 3가지
시나리오 1: 보수적 인상 (2% 내외)
주요 특징
- 물가 상승률과 연동하여 2% 초반대 인상
- 신규 채용 유지, 기존 인력 운영 부담 최소화
- 고위직보다 저연차 중심 추가 인상 가능성
예상 월급 변화(9급 1호봉 기준)
| 기준 연도 | 9급 1호봉 봉급(예상) |
| 2025년 | 2,000,900원 |
| 2026년(2% 인상) | 약 2,040,000원 |
"2만 원 올랐네? 커피값만큼은 올랐다!"
하지만 체감은... 글쎄요, 아메리카노 두 잔에서 한 잔으로 줄어드는 기적을 체험할 지도요.
시나리오 2: 중립적 인상 (2.5%~3.0%)
주요 특징
- 경제 회복 기대감 반영
- 민간기업 평균 인상률(3%대)과 유사하게 맞춰 공무원 사기 유지
- 저연차 및 필수 공직군(경찰, 소방, 군인) 별도 가산 인상 가능
예상 월급 변화(9급 1호봉 기준)
| 기준 연도 | 9급 1호봉 봉급(예상) |
| 2025년 | 2,000,900원 |
| 2026년(2.5% 인상) | 약 2,051,000원 |
| 2026년(3.0% 인상) | 약 2,060,900원 |
"어라, 그래도 작년보단 살짝 더 숨통이 트이네?"
물론 부동산 가격이 가만히 있다는 전제 하에... (이건 너무 웃프죠.)
시나리오 3: 공격적 인상 (3.5% 이상)
주요 특징
- 만약 경제 성장률이 급등하거나, 공무원 수급 문제가 심각해질 경우
- 민간기업 대비 경쟁력 확보 필요성 강조
- 전 직군 공통 인상 + 저연차 특별 가산 인상 병행
예상 월급 변화(9급 1호봉 기준)
| 기준 연도 | 9급 1호봉 봉급(예상) |
| 2025년 | 2,000,900원 |
| 2026년(3.5% 인상) | 약 2,071,000원 |
"와우, 이제 주말에 삼겹살+소주 한 병 정도는 여유 있게 가능?"
물론 소고기는 여전히 멀고 먼 이야기입니다. (현타)
2026~2030년 장기 전망
물가/경제 연동형 인상 기조 유지
- 물가 상승률 2% 초반대 유지 전망
- 이에 따라 봉급 인상률도 매년 2%~3% 사이를 벗어나긴 어려울 것으로 보입니다.
저연차 공무원 특별 배려 기조 강화
- 2025년 저연차 가산 인상 정책이 효과를 보이면
- 2026년 이후에도 9급, 8급, 7급 신규자에 대해 추가 인상 가능성이 있습니다.
계급별 인상 차별화 가능성
- 5급 이상 고위직은 동결 또는 최소 인상
- 9급~7급 현장직 위주 추가 인상
- 경찰·소방·군인 필수직군은 별도 인상 루트 마련 가능성 존재
결론: 2026년 이후 봉급, 큰 폭 인상은 어렵지만 저연차 중심 개선은 기대 가능
정리하면, 2026년 공무원 봉급 인상률은 2%~3% 사이가 될 가능성이 가장 높습니다. 대규모 인상은 기대하기 어렵지만, 9급 신규 공무원 등 저연차에 대한 추가 인상, 수당 보강 정책은 이어질 것으로 전망됩니다.
국가 재정이 넉넉하지 않은 상황에서 적당한 인상과 공정한 분배를 추구하는 방향으로 갈 가능성이 높죠.
그러니까 요약하자면,
"갑자기 돈방석 깔릴 일은 없지만, 그래도 매년 조금씩은 올라간다!"
(이걸 위로라고 해야 할지... 나도 헷갈립니다.)
결론: 9급 공무원 월급, 지금도, 앞으로도 계속 논란
9급 공무원 월급은 현실과 이상 사이에 놓여 있습니다. 초임 기준으로는 여전히 빠듯하지만, 안정성과 연금 혜택까지 고려하면 충분한 메리트가 있습니다. 2025년 봉급 인상은 저연차 배려라는 면에서는 긍정적이지만, 여전히 갈 길은 멉니다.
공직의 길, 가시밭길일 수도 있지만 묵묵히 걷는다면 그 끝에는 든든한 '국가대표'의 삶이 기다립니다.
자, 이제 꿈을 안고 수험서 한 권 더 펼쳐볼까요?
'직업 경제 세금' 카테고리의 다른 글
| 교황선종 뜻, 차기 교황 후보 파롤린, 에르되, 뮐러 추기경 프로필 나이 (0) | 2025.04.21 |
|---|---|
| 오늘의 금시세 14K 금값, 18K 1돈 팔 때‑24K 금 한돈 가격 (0) | 2025.04.17 |
| 2025년 종합소득세율 (표) (0) | 2025.04.13 |
| 상속세 납부 방법 및 연부연납 제도, 신고기한 (0) | 2025.04.12 |
| HUG 전세 보증보험 반환 절차와 임차권등기 절차 (0) | 2025.04.11 |
목차