본문 바로가기
직업 경제 세금

2025년 공무원 봉급 인상률, 군인 월급

by 하누혀누2 2024. 11. 3.
반응형

2025년 공무원 봉급 인상률, 군인 월급

혹시 2025년 공무원 봉급 인상률에 대해 들어봤나요? 내년도 공무원 임금 인상률은 3.0%로 결정되었으며, 이는 8년 만에 최대 상승률을 기록한 것입니다. 이 수치가 왜 중요한지 궁금하실 텐데요, 공무원들의 월급이 얼마나 올랐는지를 보여주는 이 2025 공무원 봉급 인상률은 특히 최근 몇 년간의 흐름과 비교했을 때 상당한 변화입니다.

2018년부터 2024년까지 공무원 봉급 인상률은 대부분 3% 미만이었으며, 심지어 2021년에는 0.9%밖에 인상되지 않았습니다. 그렇기에 이번 3.0%의 인상은 공무원들 입장에서는 반가운 소식일 수밖에 없습니다. 내년 공무원 보수 인상률은 모든 공무원이 동일하게 적용받는 것은 아니며, 특히 7급부터 9급까지의 낮은 직급에서는 상대적으로 더 높은 인상률이 적용될 예정입니다. 인사혁신처에 따르면, 공무원 보수위원회에서는 5급 이상 직급에는 2.5%, 6급 이하 직급에는 3.3%의 인상률을 권고했으며, 올해 봉급의 경우 9급 공무원의 경우에는 6.0%까지 인상되었습니다.

2025 공무원 봉급 인상률 - 물가는 다 오르는데 내 월급만 그대로야 ㅜㅜ

내년도 공무원 봉급 인상은 공무원들의 생활 안정과 복지 수준을 높이는 데 중요한 역할을 할 것입니다. 특히 낮은 직급의 공무원들에게 더 많은 혜택을 주기 때문에, 이들이 느끼는 경제적 부담이 다소 완화될 것으로 기대됩니다. 이와 같은 변화는 공공부문에서 일하는 이들의 삶의 질을 개선하고, 직업 안정성에 대한 긍정적인 신호를 줄 수 있습니다.

2025년 공무원 봉급 인상 이유

그렇다면 2025년 공무원 봉급 인상률이 이렇게 크게 높아진 이유는 무엇일까요? 정부의 설명에 따르면 크게 세 가지 이유가 있습니다.

첫째, 그동안 누적된 물가 상승을 반영했습니다. 물가 상승으로 인해 공무원의 실질적인 구매력이 감소했기 때문에 이를 보상하기 위한 조치로 볼 수 있습니다. 실제로 지난 몇 년간 생활물가가 꾸준히 상승하면서 공무원들의 실질 임금은 상대적으로 줄어들었기 때문에 이번 인상은 이에 대한 보상적 성격을 가지고 있습니다.

둘째, 코로나19 팬데믹 기간 동안 억제됐던 보수 인상률을 반영했습니다. 그동안의 경제적 어려움으로 인해 공무원의 봉급 인상률이 낮게 유지됐었는데, 이번에는 이를 보완하려는 의도입니다. 특히 팬데믹 기간 동안 여러 가지 복지 혜택이 줄어들고, 물가가 불안정한 상황이 이어졌기 때문에 이번 인상은 공무원들의 사기를 높이고, 경제적 안정감을 제공하는 데 목적이 있습니다.

셋째, 민간 기업과의 임금 격차가 지나치게 벌어지지 않도록 조정하려는 목적도 있습니다. 실제로 올해 공무원 봉급 인상률인 3.0%는 2025년 최저임금 인상률인 1.7%보다 높은 수치로, 이는 민간 임금과의 격차를 좁히기 위한 조치입니다. 민간 부문과의 경쟁력 유지와 공공부문의 인력 유출 방지를 위해서도 이러한 봉급 인상이 필요했습니다. 공무원의 처우 개선은 장기적으로 공공서비스의 질을 높이는 데 기여할 수 있습니다.

2025년 공무원 봉급표와 인상 금액

이번 봉급 인상으로 일반직 9급 1호봉 공무원의 경우 연봉이 3,010만 원에서 3,100만 원으로 약 90만 원 정도 상승합니다. 월급으로 계산하면 약 5만 6천 원 정도의 인상입니다. 이는 공무원들에게 실질적인 임금 상승을 의미하며, 소비 여력 또한 증가시킬 수 있는 긍정적인 효과가 기대됩니다. 특히 공무원 봉급 인상은 가계 경제에 직접적으로 긍정적인 영향을 줄 수 있으며, 그로 인해 소비가 늘어나 경제 전반에 활력을 불어넣을 가능성이 큽니다.

하지만 흥미로운 점은, 공무원 봉급 인상률이 3.0%로 결정되었음에도 불구하고 실제 국가공무원 인건비 예산은 4.0% 증가했다는 것입니다. 이는 봉급 외에도 수당이나 보조비 등의 기타 인건비가 더 올랐기 때문입니다. 이러한 변화는 공무원들의 실질적인 처우 개선을 의미하며, 정부가 이번 인상을 통해 공무원들의 생활 안정에 신경을 쓰고 있음을 보여줍니다. 예를 들어, 특정 수당의 경우 업무의 중요도와 난이도를 반영해 인상된 경우가 많으며, 이러한 부분들은 공무원들의 근무 만족도를 높이는 데도 기여할 수 있습니다.

2025년 공무원 봉급표

공무원의 봉급은 직급에 따라 차이가 있으며, 이번 인상으로 인해 주요 직급의 월급은 다음과 같습니다.

2025년 공무원 봉급표
2025년 공무원 봉급표

  • 2025 1급 공무원 월급 범위: 4,498,600원 ~ 7,592,100원
  • 2급 공무원 월급 범위: 4,049,900원 ~ 6,929,100원
  • 3급 공무원 월급 범위: 3,653,800원 ~ 6,408,500원
  • 4급 공무원 월급 범위: 3,131,600원 ~ 5,812,500원
  • 5급 공무원 월급 범위: 2,798,500원 ~ 5,312,500원
  • 6급 공무원 월급 범위: 2,308,700원 ~ 4,734,100원
  • 7급 공무원 월급 범위: 2,112,100원 ~ 4,062,300원
  • 8급 공무원 월급 범위: 1,970,800원 ~ 3,664,600원
  • 9급 공무원 월급 범위: 1,933,300원 ~ 3,573,300원

이처럼 2025년 공무원 봉급 인상은 하위직 공무원들에게 더 큰 혜택을 주기 위한 정책으로 볼 수 있습니다. 하위직 공무원들이 처한 경제적 어려움을 완화하고, 그들의 생활 안정을 돕기 위한 이번 봉급 인상은 근로의욕 고취와 공직 내 불평등 해소에도 중요한 역할을 할 것으로 기대됩니다.

군인 봉급 인상도 함께 이루어집니다

군인 봉급표 2025 군인월급

2025년에는 군인 봉급도 공무원 봉급과 동일하게 3.0% 인상됩니다. 군인들은 공공부문의 중요한 부분을 담당하고 있으며, 국가 안보를 책임지고 있습니다. 이러한 군인들의 봉급 인상 역시 국가의 안보와 관련된 인력의 사기 진작과 안정적인 생활을 보장하기 위한 것입니다. 이번 인상에 따라 군인의 계급별 봉급은 다음과 같습니다.

  • 소장 월급: 5,892,800원 ~ 7,641,800원
  • 준장 월급: 5,559,100원 ~ 7,292,000원
  • 대령 월급: 4,513,200원 ~ 6,554,400원
  • 중령 월급: 3,967,000원 ~ 5,812,500원
  • 소령 월급: 3,268,300원 ~ 5,312,500원
  • 대위 월급: 2,658,500원 ~ 4,621,100원
  • 중위 월급: 2,102,600원 ~ 4,160,900원
  • 소위 월급: 1,949,200원 ~ 3,797,300원
  • 준위 월급: 2,458,300원 ~ 5,500,500원
  • 원사 월급: 3,447,400원 ~ 5,383,500원
  • 상사 월급: 2,384,500원 ~ 5,266,500원
  • 중사 월급: 1,988,500원 ~ 3,797,300원
  • 하사 월급: 1,933,300원 ~ 3,474,000원

이번 군인 봉급 인상 역시 공무원 인상과 마찬가지로 인플레이션 대응과 군인들의 생활 안정을 위한 중요한 조치입니다. 군인들의 봉급이 오름으로써 이들의 직무 수행에 대한 동기 부여가 증가하고, 안정적인 생활 기반이 마련될 것입니다.

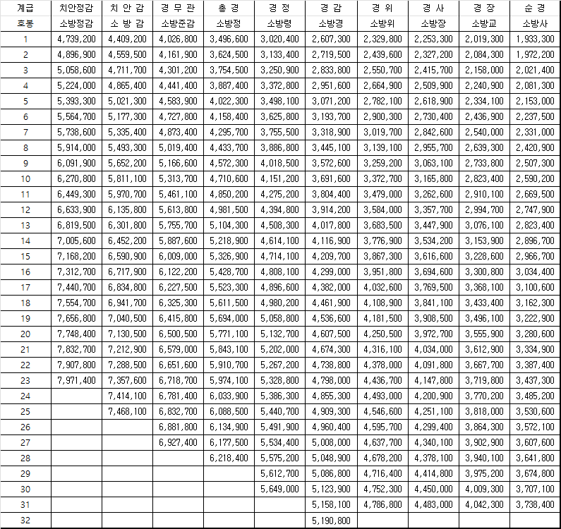
소방 및 경찰 공무원 봉급 인상

2025년 소방 경찰 공무원 봉급표 예상

소방과 경찰 공무원들도 이번 봉급 인상의 혜택을 받게 됩니다. 정부는 공무원 봉급 인상을 통해 공공서비스 종사자들의 사기를 진작시키고, 이들의 실질적인 생활 여건을 개선하는 것을 목표로 하고 있습니다. 소방 및 경찰 공무원의 경우에도 하위직의 인상률이 상대적으로 높게 책정되었으며, 이로 인해 현장 업무에 종사하는 이들의 처우가 더 나아질 것으로 기대됩니다. 특히 현장 대응에 대한 부담이 큰 소방관과 경찰관들의 처우 개선은 공공안전 서비스의 질을 높이는 데 중요한 요소로 작용할 것입니다.

또한 이번 인상은 공공 안전을 책임지고 있는 이들의 헌신과 희생을 존중하는 의미도 담고 있습니다. 소방과 경찰 공무원들이 사회적으로 중요한 역할을 수행하고 있기 때문에, 이들의 처우 개선은 궁극적으로 국민의 안전과 직결되는 중요한 과제입니다. 이러한 인상은 공공서비스의 질적 향상과 공무원의 직무 만족도 상승을 기대할 수 있는 긍정적인 변화라 할 수 있습니다.

2025년 공무원 봉급 인상의 경제적 영향

2025년 공무원 봉급 인상은 단순히 공무원들의 월급을 올리는 데 그치지 않습니다. 이 인상은 전체 경제에도 큰 영향을 미칠 수 있습니다. 공무원 봉급이 오르면 정부 지출이 증가하게 되고, 이는 다시 민간 소비로 이어질 수 있습니다. 또한, 공무원 봉급 인상은 다른 직종의 임금 인상에도 영향을 줄 수 있습니다.

특히 공무원 봉급 인상은 공공부문과 민간부문의 임금 격차에 영향을 주어 민간 기업에서도 임금 인상의 압박을 받을 수 있습니다. 이러한 임금 상승 압력은 민간 부문에서도 경쟁력 있는 임금을 유지하기 위해 인건비를 늘리는 결과로 이어질 수 있으며, 이는 노동시장의 전반적인 변화로 이어질 수 있습니다. 이러한 변화는 국가 경제의 소비와 투자에 긍정적인 영향을 미칠 수 있고, 이는 다시 경제 성장에 기여할 수 있는 선순환 구조를 형성하게 됩니다.

또한, 공무원 봉급 인상은 지방 경제에도 영향을 줄 수 있습니다. 많은 공무원들이 지방에서 근무하고 있으며, 이들의 소비가 지방 경제 활성화에 중요한 역할을 하기 때문입니다. 공무원의 봉급 인상은 이들이 거주하는 지역의 소비와 경제 활동을 촉진시켜 지역 경제에 긍정적인 영향을 미칠 것으로 기대됩니다.

이와 같이 2025년 공무원 봉급 인상률 3.0% 결정은 단순한 숫자가 아니라 우리 경제 전반에 영향을 미치는 중요한 사안입니다. 공무원 봉급 인상은 단순히 공공부문에만 국한되지 않고 민간 부문, 지방 경제, 나아가 국가 경제 전반에 걸쳐 파급 효과를 미칠 수 있습니다.

결론: 공무원 봉급 인상, 앞으로의 전망은?

2025년 공무원 봉급 인상률은 8년 만에 최대 인상률인 3.0%로 결정되었으며, 이는 공무원의 실질 임금을 회복시키고 민간 기업과의 보수 격차를 줄이기 위한 중요한 조치입니다. 이번 인상은 특히 하위직 공무원에게 더 큰 혜택을 제공하며, 공무원과 군인의 생활 안정을 도모하기 위한 목적을 가지고 있습니다.

앞으로 이 결정이 어떤 영향을 미칠지, 그리고 다음 해에는 어떤 변화가 있을지 지켜봐야 할 것입니다. 이러한 경제적 변화들을 이해하는 것은 우리 모두에게 중요한 일입니다. 공무원 봉급 인상과 관련된 다양한 의견과 그에 따른 경제적 영향을 계속 주의 깊게 살펴보는 것도 필요하겠죠.

특히 공무원 봉급 인상이 공공부문뿐만 아니라 민간 부문에도 영향을 미치고, 궁극적으로는 국가 경제의 성장에 긍정적인 영향을 줄 수 있다는 점을 기억해야 합니다. 앞으로도 이러한 변화가 어떤 방향으로 나아갈지 주목하며, 경제와 관련된 다양한 정책 변화를 잘 살펴보는 것이 중요할 것입니다. 이러한 인상률 변동은 단순히 숫자의 변화가 아닌, 국가 경제 전반에 걸쳐 중요한 역할을 한다는 점을 잊지 말아야겠습니다.

반응형

목차