공무원 직급체계 직위 비교의 이해
공무원 직급체계는 국가와 지방자치단체의 효율적 운영 및 공공서비스 질 향상을 위한 중요한 제도입니다. 이 체계는 공무원의 계급, 직위, 호봉 등 다양한 요소를 기반으로 하여 각 공무원이 수행하는 역할과 책임, 권한을 명확히 구분합니다. 오늘은 대한민국의 공무원 직급체계와 직위 비교에 대해 심도 있게 살펴보고, 일반 행정직뿐만 아니라 경찰, 소방, 교육 분야에서의 체계적 차이와 특징, 그리고 역사적 맥락까지 폭넓게 논의하고자 합니다.



공무원 조직 내에서의 계급과 직위 구분은 단순한 서열 표시를 넘어 각 공무원이 담당하는 업무 범위와 책임을 분명히 하여 조직의 효율성을 극대화하는 데 기여합니다. 또한, 이러한 체계는 공직 사회 내부의 질서 유지는 물론, 국민에게 신뢰받는 공공기관 운영의 초석이 되기도 합니다.
공무원 직급체계의 기본 개념
공무원 직급체계는 크게 직급과 직위, 그리고 호봉 체계로 나눌 수 있습니다.

- 직급은 공무원의 신분과 서열을 나타내며, 일반적으로 9급에서 1급까지의 단계로 구분됩니다.
- 직위는 공무원이 속한 부서나 조직 내에서 수행하는 구체적인 역할과 업무를 의미하며, 직급과는 별도로 업무의 성격과 중요도에 따라 부여됩니다.
- 호봉은 공무원의 경력과 근속 연수를 반영하여 급여 체계를 결정하는 요소로, 동일 직급 내에서도 근무 기간에 따라 차등적으로 적용됩니다.

이러한 체계는 조직 내 각 구성원이 맡은 역할에 따른 책임과 권한을 명확히 하고, 승진 및 경력 발전의 기준을 마련하여 공무원 개인의 성장과 전문성 향상에 기여합니다.
일반 행정직 공무원의 직급체계 및 역할
일반 행정직 공무원은 국가와 지방자치단체의 다양한 행정 업무를 수행하며, 그 직급체계는 9급에서 1급까지 구성되어 있습니다. 각 직급별 특징은 다음과 같습니다.
- 9급:
초임 공무원으로서 기초 행정 업무, 민원 처리, 서류 업무 등을 담당합니다. 현장에서의 경험을 쌓으며, 행정 시스템에 대한 기초 지식을 습득하는 단계입니다. - 8급:
일정 기간의 근무 경험을 통해 승진한 단계로, 단순 행정업무 외에도 기초적인 보고서 작성 및 예산 관리 업무를 시작하게 됩니다. 팀 내에서 보조 역할을 수행하면서 업무에 대한 책임감이 점진적으로 확대됩니다. - 7급:
중간 관리자 역할이 요구되는 단계로, 부서 내 팀 운영과 일상 행정 업무의 조율을 담당합니다. 정책 집행 과정에서 조정자 역할을 수행하며, 상위 직급과의 소통 및 협력이 중요해집니다. - 6급:
보다 전문적인 업무 수행과 독립적 판단이 요구되며, 주요 부서에서 실무 책임을 맡게 됩니다. 대민 업무뿐 아니라 내부 조직 간의 소통 및 조율 역할도 수행합니다. - 5급:
부서나 팀의 주요 업무를 총괄하며, 정책 개발, 예산 관리 등 실질적인 의사결정권을 행사하는 단계입니다. 중간 관리직으로서 조직 내에서 중요한 조정 및 관리 역할을 맡습니다. - 4급:
상위 관리자로서 부서의 정책과 사업 기획, 실행에 대한 책임이 부여됩니다. 조직 내에서 중요한 의사결정에 참여하며, 부서 전체의 방향성을 제시하는 역할을 수행합니다. - 3급:
국가 주요 정책 결정에 참여하는 고위 행정직으로, 중앙 부처에서 활동하며 조직 운영의 핵심적인 역할을 담당합니다. 주요 사안에 대해 최종 결정을 내리는 데 중요한 역할을 합니다. - 2급:
정부의 핵심 부서에서 중추적인 역할을 수행하며, 부처 간의 협력과 대규모 프로젝트 운영, 정책 방향 결정 등에 관여합니다. - 1급:
최고위 공무원으로서 각 부처의 장관, 차관, 청장 등 정부의 최고 의사결정권을 행사합니다. 국가 행정의 최종 결정권자로서 정책 전반에 대한 큰 그림을 제시하며, 공직사회 내에서 최고의 권한을 보유합니다.
일반 행정직 공무원의 직급 체계는 단순한 서열을 넘어, 각 직급이 맡은 업무의 복잡성과 중요도, 그리고 공공서비스의 질을 높이기 위한 핵심 기준으로 활용됩니다.
경찰 계급체계의 특징과 역할


경찰 조직 역시 체계적인 계급 구분을 통해 각 구성원이 수행하는 역할과 책임을 명확히 하고 있습니다. 경찰 계급체계는 치안 유지와 법 집행이라는 중요한 임무를 수행하기 위해 설계되었으며, 각 계급은 다음과 같은 역할을 맡고 있습니다.

- 경사:
기초적인 사건 조사와 순찰 업무를 담당하며, 지역사회 내에서의 안전 유지에 중추적인 역할을 합니다. 현장에서 직접 범죄 예방과 단속 업무를 수행합니다. - 경위:
현장 업무를 총괄하며, 특정 사건 발생 시 책임자로서 신속한 판단과 대응이 요구됩니다. 팀 단위의 운영과 사건 조사를 주도하며, 보고 체계를 확립합니다. - 경감:
중간 관리자급으로 부서 내 팀 운영, 주요 사건 감독 및 조정을 담당합니다. 여러 사건의 진행 상황을 종합적으로 관리하며, 상위 계급과의 원활한 소통을 통해 업무의 효율성을 높입니다. - 경정:
부서 단위의 관리자로서, 지역 단위의 경찰 조직 운영 및 주요 사건의 지휘를 맡습니다. 조직 내 정책 결정과 전략 수립에 중요한 역할을 수행합니다. - 총경:
광역 단위의 경찰 조직 운영을 책임지며, 치안 정책 수립 및 집행, 대규모 사건 대응 등에서 핵심적인 역할을 합니다. 지역사회와의 협력 강화 및 정책 조율에 주력합니다. - 경무관 이상:
국가 단위의 치안 정책 결정과 조직 운영을 총괄하는 최고위 계급입니다. 정부의 치안 전략 및 정책 방향에 큰 영향을 미치며, 국제 치안 협력 및 대외 업무도 수행합니다.
경찰 계급체계는 명확한 서열과 역할 분담을 통해, 복잡한 사회 안전망을 구축하는 데 큰 기여를 하고 있으며, 각 계급별로 요구되는 전문성과 책임감은 국민의 안전 보장에 결정적인 역할을 합니다.






소방관 계급체계와 재난 대응
소방관 역시 공공의 안전을 위한 필수 조직으로, 화재 진압, 재난 구조, 응급 구호 등 다양한 역할을 수행합니다. 소방관 계급체계는 현장의 신속한 대응과 효율적인 조직 운영을 위해 다음과 같이 구분됩니다.


- 소방사:
초임 소방관으로서 기본적인 화재 진압과 구조 활동에 참여합니다. 현장에서의 경험을 통해 재난 상황 대응 능력을 기르는 중요한 단계입니다. - 소방교:
현장 팀을 이끄는 초급 지휘관으로, 소방사들을 지도하고 작전 수행 시 기본적인 전략을 수립합니다. 화재 진압 과정에서 팀의 원활한 협력을 도모합니다. - 소방경:
중간 관리자 역할을 수행하며, 지역 단위의 화재 진압과 구조 작업을 조율합니다. 작전 계획 수립 및 현장 상황 판단 능력이 중요한 역할을 합니다. - 소방령:
상위 관리자급으로서 대규모 재난 상황에 대응하며, 전략적 결정을 내리고 전체 작전을 총괄합니다. 정책 수립 및 재난 관리 체계의 개선에도 기여합니다. - 소방정 이상:
국가 단위의 소방 정책 결정과 운영을 책임지며, 재난 예방 및 관리 체계의 총괄 역할을 수행합니다. 정부와 협력하여 국가 재난 대응 매뉴얼을 수립하는 등, 전반적인 재난 관리 역량을 강화하는 데 중요한 역할을 합니다.
소방관 계급체계는 각 단계별 역할 분담을 통해, 화재 및 재난 상황에서 신속하고 효과적인 대응을 가능하게 하며, 국민의 생명과 재산을 보호하는 데 결정적인 기여를 하고 있습니다.
교사와 교육 공무원의 직위 체계
교육 분야의 공무원인 교사는 일반 행정직과 달리 별도의 계급 체계를 적용받지 않습니다. 대신, 교육 현장에서의 직위에 따라 학교 운영과 교육 정책의 실행이 이루어집니다.

- 교사:
학급 내 학생들을 직접 지도하며, 교육 및 생활 상담, 학습 지원 등 다양한 역할을 수행합니다. 학생들과의 긴밀한 소통을 통해 교육의 질을 높이는 핵심 역할을 맡고 있습니다. - 교감:
학교 운영을 보조하며, 교사들의 교육 활동을 총괄하고 학생 복지, 행정 업무를 지원합니다. 학교 내 여러 구성원 간의 조율을 통해 학급과 학교 전체의 효율적 운영을 돕습니다. - 교장:
학교의 전반적인 교육 방향과 운영 방침을 결정하는 최고 책임자로, 교육 정책을 현장에 효과적으로 반영하고 실행하는 역할을 수행합니다. 교장으로서 학교 구성원 모두의 역량을 발휘할 수 있도록 환경을 조성하며, 교육의 혁신과 발전을 이끌어 갑니다.
교사의 예우는 공무원 직급으로 치면 7급 공무원에 해당합니다. 실제 교사 급여도 7급 공무원 월급으로 시작합니다. 이는 이상한 게 아닙니다. 기본적으로 공무원은 학력을 따지지 않습니다. 즉 9급 공무원은 대학을 안 나와도 할 수 있지만, 교사는 대학 안 나오면 안 시켜줍니다.
고졸출신 학교 선생님을 바라는 학생이나 학부모는 없겠죠? 이건 차별의 문제가 아니라 직능의 문제니까요. 하지만 과거에는 고졸출신의 준교사라는 게 존재했습니다. 대학 나온 사람들이 부족하던 시절에 고졸만으로 교사가 된 준교사들이 존재합니다. 아마 상고나 공고 같은 데서 실기 위주의 교사님들이 그랬을 것이라 추측만 해봅니다.



그래서 교사 봉급표에 1호봉부터 존재합니다. 대학 나온 정교사 2급 자격증 소지자 교사들이 최소 8급, 교대나 사범대 출신이면 9급부터 시작하는데 반해서 교사 봉급표에 1호봉은 왜 존재하는지 궁금하셨다면, 과거에 존재했던 준교사제도 때문에 교사 1호봉이 존재했었기 때문에 봉급표에 1호봉부터 시작하게 돼 있습니다.
지금은 운영하지 않는 제도인데 왜 준교사를 위해 교사 월급표에 1호봉을 놔뒀는지 궁금하시다면 아직 교육 현장에 그런 시절에 임용된 고졸출신 준교사들이 퇴직하지 않고 교단에 남아 있기 때문입니다. 아마 공식적으로 그분들이 정년퇴직하고 나면 호봉이 조정되지 않을까 조심스레 예상해 봅니다.
아무튼 교사는 대학을 나와서 임용되는 게 기본이고 당연한데, 군대도 대학출신은 장교로 임용되죠? 경찰도 경찰대 출신은 경위로 임관합니다. 이들의 공통점은 7급 공무원과 같은 레벨이라는 것이죠. 즉 급여가 7급 공무원 1호봉 월급과 비슷한 수준들이라는 뜻입니다.

위의 상당계급표에서도 소위는 7급에 해당하는 것으로 나와 있습니다. 그런데 1줄 더 있죠? 추가된 한 줄에서 소위, 중위, 대위가 모두 5급으로 인플레이션 됐습니다. 저 한 줄의 의미는 전시상황이나 혹은 그에 준하는 비상상황, 즉 계엄하에서는 소위도 5급 공무원에 준하게 됩니다. 군정이 실시되면 소위는 동사무소 동장과 같은 급이 됩니다. 군은 여전히 언제든 국민 위에 군림할 준비를 법률로 마쳐놓은 조직입니다.
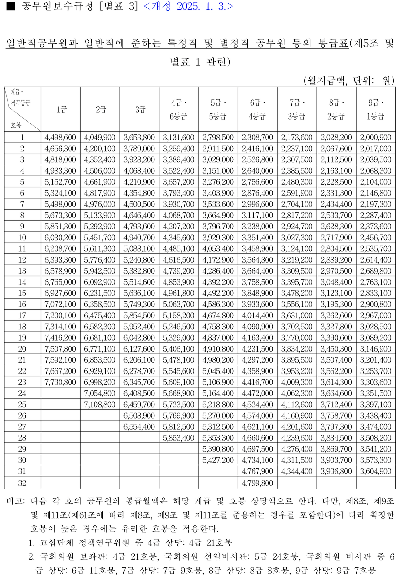
그런데 언제부터인지 교사들의 임용 시 월급이 7급에 상당하는 타 직렬 공무원 급여를 아득히 추월해 버렸습니다. 그런데도 맨날 교사들은 박봉이니, 우울증에 걸리느니 그런 말씀들 하시죠. 형평에 어긋나서 혜택을 누리고 있으면서도 더 욕심내는 모양새 같아서 씁쓸합니다. 7급 공무원 1호봉 217만 원, 경위 1호봉 235만 원, 사관학교 출신 소위 3호봉 219만 원(사관학교 출신 소위는 임관 시 2호봉을 더 받습니다.) 일반대학출신 교사 8호봉 232만 원, 교대 사범대출신 교사 236만 원 받습니다. 대충 비슷비슷하죠? 그렇게 같은 급으로 보는 것입니다. 군인 대장 월급이 장관월급과 동일하기 때문에 군인 대장은 장관급으로 예우하는 것과 같습니다.
검찰 조직의 직급과 직위 체계

검찰 조직은 일반 공무원 조직에서 사용되는 직급 체계와는 달리, 직위를 중심으로 운영된다는 점에서 큰 차이를 보입니다. 검찰 내에서는 '검사'라는 기본 직위를 바탕으로, 검사장, 고검장, 부장검사 등 다양한 직위가 존재합니다. 이와 같이 직위가 중심이 되는 체계는 상명하복의 원칙에 따라 엄격하게 운영되며, 각 직위별로 수행하는 역할과 책임이 법률 및 규정에 의해 명확하게 규정되어 있습니다.
이러한 구조는 군대에서 '대장'과 같이 계급이 단순히 서열을 나타내는 경우와는 다르게, 예를 들어 합참의장처럼 직위가 계급 이상의 의미를 지니는 사례와도 유사한 면모를 보입니다. 검찰 조직에서는 법률과 규정에 따른 엄격한 위계질서가 존재하나, 그 구분 방식은 다른 공무원 조직과 구별되는 독특한 특징을 가지고 있습니다. 이러한 체계는 검찰 내부에서의 신속한 의사결정과 업무 수행을 지원하며, 공정하고 투명한 수사 및 검찰 행정을 위한 기반이 되고 있습니다.
공무원 호봉제와 경력 발전
공무원의 보수 체계는 직급뿐만 아니라, 호봉이라는 요소에 의해 결정됩니다. 호봉은 공무원의 근무 연수와 경력을 반영하는 지표로서, 동일한 직급 내에서도 근속 기간에 따라 차등 급여가 지급됩니다.
- 초임 호봉:
경력이 없는 신규 공무원에게 적용되며, 조직 내에서 처음 시작하는 단계로 기본 교육과 현장 경험 습득이 주된 목표입니다. - 중간 호봉:
일정 기간 동안의 근무 경험을 바탕으로 실무 능력이 향상됨에 따라 급여와 역할이 점진적으로 확대되는 단계입니다. - 최고 호봉:
장기근속과 풍부한 경험을 바탕으로 최상위 급여 단계에 도달하며, 조직 내에서 전문성과 리더십을 인정받는 수준입니다.
호봉제는 단순히 급여 체계의 차이를 넘어, 공무원의 경력 발전을 체계적으로 지원하고, 장기적인 전문성 향상과 조직 안정성을 도모하는 중요한 제도입니다.
고위공무원단과 정책 결정 역할
고위공무원단은 국가의 중대한 정책 결정과 부처 간 협력을 조율하는 핵심 조직입니다. 이들은 각 부처의 장관, 차관 및 1급 공무원 등으로 구성되며, 정부의 전반적인 정책 방향을 설정하고 실행에 필요한 전략을 수립합니다.
- 정책 기획 및 조율:
고위공무원은 국가 및 지방자치단체의 주요 정책을 기획하고, 부처 간 협력체계를 구축합니다. 이를 통해 정부의 전반적인 행정 운영에 일관성을 부여하고, 정책 실행 과정에서 발생할 수 있는 문제를 사전에 예방합니다. - 대규모 프로젝트 관리:
국가 단위의 대규모 프로젝트 및 긴급 상황 발생 시, 고위공무원은 신속하게 대응하여 문제 해결과 원활한 업무 진행을 도모합니다. 이 과정에서 부처 간의 소통과 조율은 필수적이며, 고위공무원의 역할이 결정적으로 작용합니다. - 국제 협력 및 외교적 역할:
국제 회담이나 외교 행사에서도 고위공무원은 국가를 대표하여 외국의 고위 관료들과 협의하며, 국가 이미지를 높이는 데 기여합니다.
이처럼 고위공무원단은 정부의 핵심 정책 결정 기구로서, 국가 행정의 효율성과 전문성을 높이는 데 중요한 역할을 담당하고 있습니다.
의전서열의 중요성과 적용



공공기관 및 정부 행사에서 의전서열은 단순한 서열 이상의 의미를 갖습니다. 이는 각 공무원이 맡은 역할과 책임에 따라 상호 존중과 협력의 기본 틀을 마련하는 중요한 요소입니다.

- 공식 행사에서의 역할:
국가 주요 행사나 외교적 회담에서 의전서열은 참석자들의 위치와 역할을 명확히 하여, 행사 진행의 원활함과 품격을 높입니다. 대통령, 국무총리, 장관, 차관 등 주요 인사의 서열이 명확히 구분되어, 행사 중 혼선이 없도록 도와줍니다. - 내부 조직 운영에서의 중요성:
의전서열은 공공기관 내에서도 상호 존중과 효율적인 업무 분담을 위한 기준이 됩니다. 이는 부서 간 협업과 소통을 원활하게 하며, 각 공무원이 자신의 역할에 맞게 책임감을 가지고 업무를 수행할 수 있도록 합니다.
이처럼 의전서열은 국가의 위상과 공직사회의 질서를 유지하는 데 중요한 역할을 하며, 이를 통해 정부 행사 및 대외 협력 과정에서 신뢰와 효율성을 동시에 확보할 수 있습니다.
조선시대 품계와 현대 공무원 서열 비교
조선시대의 품계 제도는 신분과 역할을 엄격히 구분하는 사회 구조를 반영하였습니다. 품계에 따라 각 인물의 사회적 지위와 역할이 정해졌으며, 이는 국가 운영과 관료 체계의 기초가 되었습니다.
반면, 현대의 공무원 직급체계는 전문성과 업무 효율성을 중시하는 방향으로 발전하였습니다.

- 조선시대 품계:
정1품, 정 2품 등으로 나누어 신분과 역할을 구분하였으며, 사회적 계층에 따른 책임과 권한이 명확히 정해졌습니다. - 현대 공무원 서열:
9급부터 1급까지 세분화된 체계로, 경력과 업무 수행 능력, 전문성을 반영한 승진 및 보수 체계를 갖추고 있습니다. 이러한 변화는 국가 운영의 효율성을 극대화하고, 공무원 개인의 전문성 향상 및 조직 내 협력 체계를 강화하는 데 기여하고 있습니다.


역사적 맥락에서 볼 때, 조선시대 품계와 현대 공무원 서열은 각각의 시대적 요구와 사회 구조를 반영한 결과라고 할 수 있으며, 현대 사회에서는 공정성과 전문성을 중시하는 체계로 재정비되어 운영되고 있습니다.
결론
공무원 직급체계와 직위 비교는 단순한 서열 표시를 넘어서, 각 공무원이 수행하는 역할, 책임, 권한을 체계적으로 정리하는 중요한 시스템입니다. 일반 행정직, 경찰, 소방, 교육 분야 등 각 영역에서 특화된 체계는 국민에게 신뢰받는 공공서비스를 제공하는 데 큰 역할을 하고 있습니다. 또한, 호봉제와 고위공무원단의 역할, 의전서열의 적용 등은 공무원 조직 내 질서 유지와 효율적인 행정 운영을 위한 핵심 요소로 작용합니다.
이와 같이 명확하게 구분된 직급과 직위 체계는 공무원 개인의 성장과 전문성 강화뿐만 아니라, 국가 및 지방자치단체의 정책 집행과 대내외 협력에서도 중요한 기반을 제공합니다. 앞으로도 이러한 체계의 지속적인 개선과 혁신은 공공서비스의 질적 향상과 국민 신뢰 확보에 긍정적인 영향을 미칠 것으로 기대됩니다.
공무원 직급체계와 직위 비교에 대한 이해를 통해, 각 분야별 공무원이 맡은 역할과 책임, 그리고 조직 전체의 운영 방식에 대해 보다 깊이 있는 시각을 가질 수 있기를 바랍니다.
'직업 경제 세금' 카테고리의 다른 글
| 공무원 배우자 출산휴가 기간 20일로 연장 확대 (0) | 2025.02.16 |
|---|---|
| 대우공무원 수당 (0) | 2025.02.15 |
| 일용직 소득세 계산방법, 신고방법 (0) | 2025.02.11 |
| 경조사 휴가규정: 근로기준법상 부모상 휴가 일수, 배우자 형제 자매 사망 시 (0) | 2025.02.09 |
| 경찰 인사 발령 치안감, 치안정감 승진자 명단 조정래, 남제현, 박종섭 경무관 최현석, 김철문, 오부명 치안감 전보 (0) | 2025.02.06 |
목차