공무원 봉급표 2025 - 일반직, 교사, 군인, 경찰·소방 월급 정리
2025년 기준 공무원 봉급표가 확정되어 현재 시행 중입니다. 이번 글에서는 2025년 공무원 봉급 인상 내용, 직군별 봉급표(일반직, 교원, 군인, 경찰·소방)를 자세히 살펴보고, 2026년 예고된 공무원 임금 인상률 3.5%까지 함께 짚어보겠습니다. 2025년 9월 15일 현재 시점에 실질적인 봉급 정보를 한 눈에 정리하고, 내년도 준비에도 도움이 되도록 구성했습니다.


2025년 공무원 봉급 인상 개요
- 보수규정 개정 시행일: 2025년 1월 3일
- 보수규정 번호: 대통령령 제35181호
- 평균 인상률: 전체 평균 3.0%
- 저연차 공무원 인상률: 평균보다 높은 추가 인상
- 개정 방향:
- 물가 상승률 반영
- 신규·초임 공무원의 처우 개선
- 근속 유인을 높이는 구조 반영



2026년 공무원 봉급 인상률 발표
- 인상률: 3.5%
- 시행 예정일: 2026년 1월 1일 (예정)
- 특이사항: 2017년 이후 9년 만에 최대 폭 인상
- 주요 배경: 고물가 지속, 민간 대비 임금 정체에 따른 처우 개선 목적


일반직 공무원 봉급표 2025
일반직렬 공무원은 전체 공무원의 가장 큰 비중을 차지하는 직군입니다. 다음은 공무원 봉급표 2025(일반직렬공무원) 입니다.

직급과 호봉에 따라 기본 봉급이 다르게 책정됩니다.
일반직 봉급표 예시 (일부 발췌)
| 직급 | 1호봉 | 5호봉 | 10호봉 | 15호봉 |
| 9급 | 1,910,000원 | 2,130,000원 | 2,460,000원 | 2,710,000원 |
| 7급 | 2,350,000원 | 2,590,000원 | 2,920,000원 | 3,150,000원 |
| 5급 | 3,030,000원 | 3,420,000원 | 3,950,000원 | 4,380,000원 |
비고
- 기본급 외에 직무수당, 정액급식비, 가족수당, 성과상여금 등이 추가 지급됩니다.
- 국회의원 보좌관 및 비서관은 4급~9급 상당의 급여 적용.

교육공무원 봉급표 2025 교사 월급
2025 초·중등 교원 호봉표

적용 대상: 유치원, 초등학교, 중학교, 고등학교 교사
| 호봉 | 월급 (원) |
| 1호봉 | 2,330,000 |
| 5호봉 | 2,720,000 |
| 10호봉 | 3,280,000 |
| 15호봉 | 3,870,000 |
| 20호봉 | 4,430,000 |
비고
- 기간제 교사는 정해진 고정급 형태로, 주당 수업시수에 따라 산정됨.
- 근무지, 담당 학년 등에 따라 교직수당, 담임수당, 연구활동비 등이 추가로 지급됨.
국립대학 교원 봉급

국립대학 교수는 일반 공무원과 달리 고정급제를 적용하며, 총장, 교수, 부교수, 조교수 순으로 직급별 급여가 차등 지급됩니다.
| 직급 | 평균 월급 (원) |
| 총장 | 약 8,000,000 |
| 교수 | 약 6,500,000 |
| 부교수 | 약 5,500,000 |
| 조교수 | 약 4,500,000 |
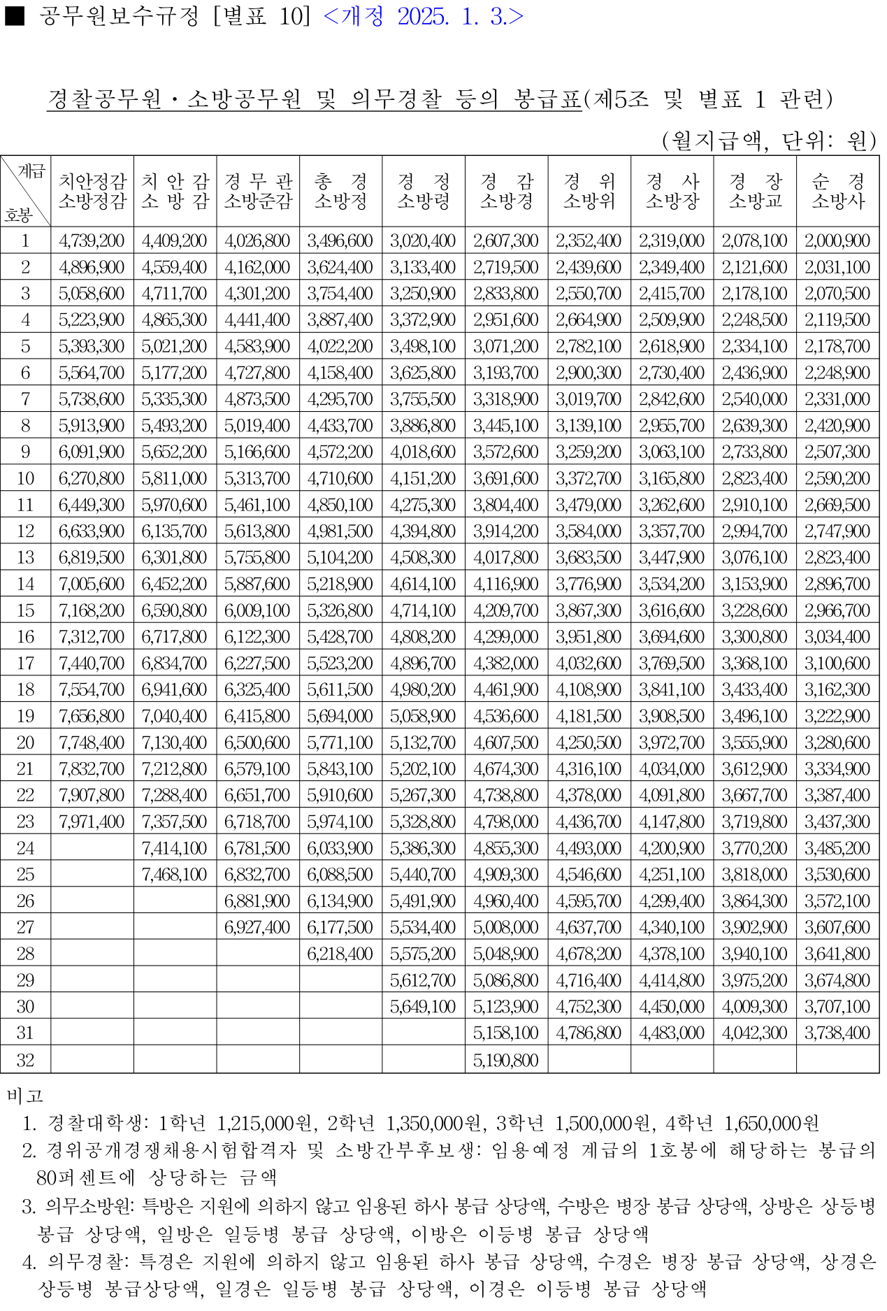
경찰 공무원 봉급표 2025
순경~총경 계급별 봉급 예시

| 계급 | 1호봉 | 5호봉 | 10호봉 |
| 순경 | 2,215,000원 | 2,480,000원 | 2,830,000원 |
| 경장 | 2,370,000원 | 2,640,000원 | 2,970,000원 |
| 경사 | 2,540,000원 | 2,810,000원 | 3,140,000원 |
| 경위 | 2,730,000원 | 3,000,000원 | 3,330,000원 |
위험근무수당, 특수지근무수당 등 직무특성에 따른 수당이 많습니다.
경찰대학생 월급
| 학년 | 월급 (원) |
| 1학년 | 1,215,000 |
| 2학년 | 1,350,000 |
| 3학년 | 1,500,000 |
| 4학년 | 1,650,000 |
비고: 학비 및 숙식 지원 포함. 졸업 후 경위 임관.



소방 공무원 봉급표 2025
소방공무원도 경찰과 마찬가지로 위험수당과 시간외근무수당 등 실급여가 높아지는 경향이 있습니다.
| 계급 | 1호봉 | 5호봉 | 10호봉 |
| 소방사 | 2,215,000원 | 2,460,000원 | 2,770,000원 |
| 소방교 | 2,360,000원 | 2,610,000원 | 2,920,000원 |
| 소방장 | 2,520,000원 | 2,770,000원 | 3,080,000원 |
비고
- 화재진압, 구조·구급 등 고위험 업무 특성상 위험수당 160,000원까지 지급.
- 교대근무에 따른 초과수당이 상당함.
군인 봉급표 2025
2025년 군인 봉급은 병사 처우 개선에 중점을 두고 병장 기준 150만 원 시대에 진입했습니다.


장교 고정급
| 계급 | 월봉급 |
| 대장 | 9,293,500원 |
| 중장 | 9,127,800원 |
| 소장 | 8,762,000원 |
| 준장 | 8,213,000원 |


사관생도
| 학년 | 월급 (원) |
| 1학년 | 1,215,000 |
| 2학년 | 1,350,000 |
| 3학년 | 1,500,000 |
| 4학년 | 1,650,000 |

병사 월급
| 계급 | 월봉급 |
| 이등병 | 750,000원 |
| 일병 | 950,000원 |
| 상병 | 1,200,000원 |
| 병장 | 1,500,000원 |



비고
- 2027년까지 병장 200만원 목표 추진 중.
- 부사관, 간부의 경우 별도 호봉제 적용.

우정직(우정 9급~1급)

- 우정9급 1호봉 2,000,900원 → 20호봉 3,146,900원
- 우정5급 1호봉 2,483,700원 → 20호봉 4,473,700원
- 우정1급 1호봉 3,317,900원 → 20호봉 5,737,400원
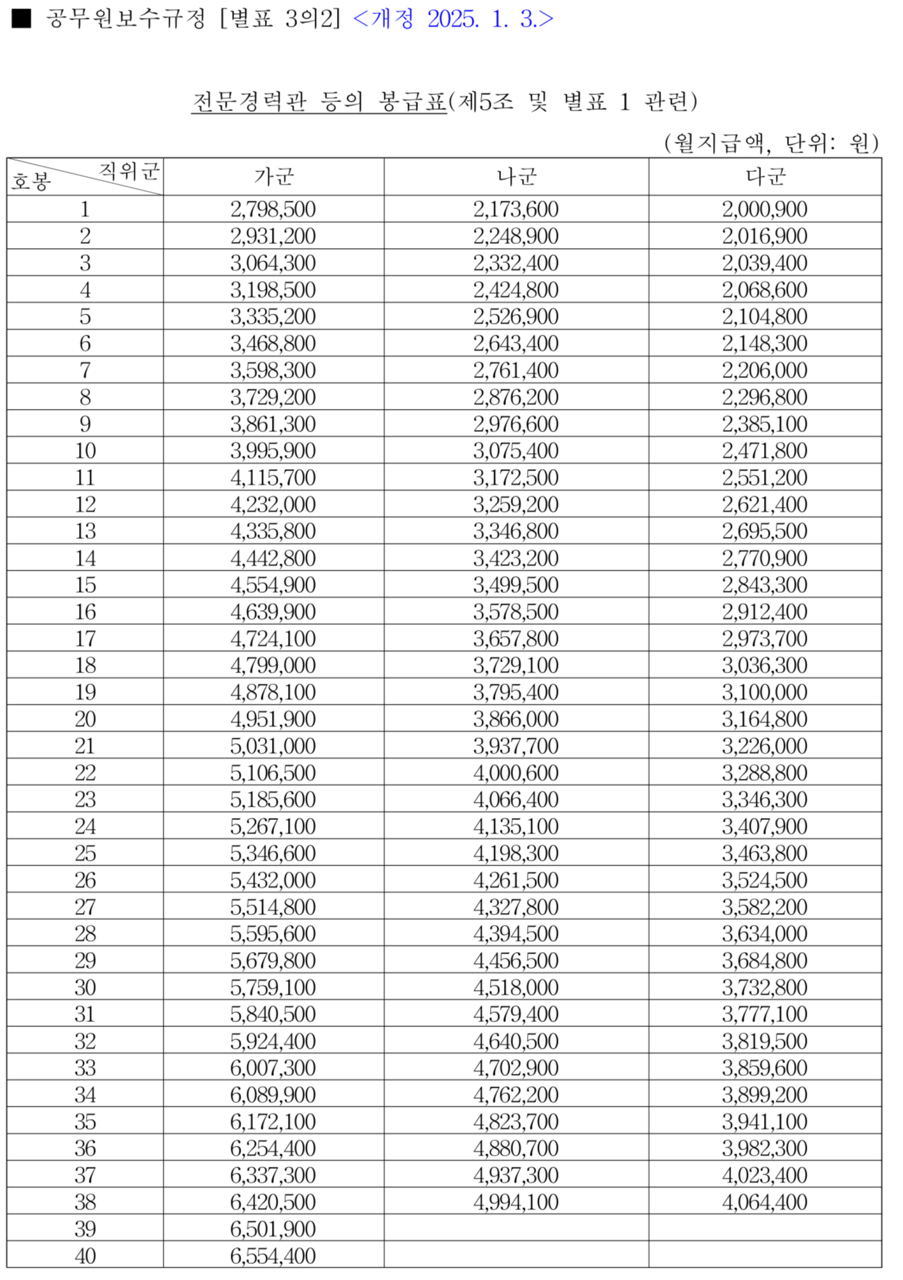
전문경력관·연구·지도직



- 전문경력관 다군: 1호봉 2,000,900원 → 30호봉 3,732,800원
- 전문경력관 가군: 1호봉 2,798,500원 → 30호봉 5,759,100원
- 연구사: 1호봉 2,173,600원 → 36호봉 4,970,600원
- 연구관: 1호봉 2,798,500원 → 32호봉 7,466,000원
- 지도사: 1호봉 2,028,200원 → 36호봉 4,864,000원
- 지도관: 1호봉 2,798,500원 → 32호봉 6,996,900원 (33호 이후 지도사만 존재)


보수 외 수당 및 복지제도 요약
공통 수당 항목

- 정액급식비: 140,000원
- 가족수당: 배우자 40,000원, 자녀당 20,000원
- 명절휴가비: 기본급의 60% 내외
- 연가보상비, 시간외근무수당, 직급보조비 등
2025년 특별 조치사항
- 신규 공무원 임용 시 초봉 상향
- 현장직군 우대
- 성과연봉제 적용 확대


결론: 2025년 봉급 현황과 2026년 전망
2025년 공무원 봉급은 전체 3% 인상이라는 평균을 중심으로 하되, 신규 및 저연차 공무원의 초기 처우 개선에 방점을 찍었습니다. 또한 경찰, 소방, 군인 등 현장직의 위험수당과 급여 개선책이 실질적으로 강화되었습니다.
무엇보다도 2026년 인상률 3.5%가 이미 발표된 만큼, 2025년은 단기적 기준이 아닌 장기적 변화의 전초전이라는 해석도 가능합니다. 향후 몇 년간 물가·민간 대비 처우 격차 해소를 위한 기조는 이어질 것으로 보이며, 성과 중심 + 처우 개선 + 지속가능성이라는 균형이 핵심 키워드가 될 것입니다.
'직업 경제 세금' 카테고리의 다른 글
| 오늘의 금시세 18K 1돈 가격 (0) | 2025.10.02 |
|---|---|
| 공무원 연가일수, 교사 연가보상비 계산 (0) | 2025.09.17 |
| 경찰 계급체계, 해양경찰 직급체계 (0) | 2025.09.10 |
| 2026년 공무원 봉급표 2026 교사 호봉표 (0) | 2025.09.10 |
| 공무원 명절휴가비 지급기준, 교사상여금 지급일 초중고 기간제·교원 설·추석 명절 수당 (0) | 2025.09.03 |
목차